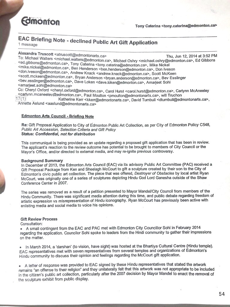
Skip to content
  • C.V.
  • Sculpture
  • Music
  • Beer
  • Weed
  • Flags
  • Games
  • Media
  • Contact

Ryan McCourt

Artist in Edmonton, Canada

Media

Leo Cripps, “Discoveries,” CKUA Radio, 9am, Jan. 14, 2026
Leo Cripps, “Discoveries,” CKUA Radio, 9 am, Jan. 13, 2026







Original Artshab logo: Design by Ryan McCourt

Share this:

  • Share on X (Opens in new window) X
  • Share on Facebook (Opens in new window) Facebook
Like Loading...

Sculpture Categories

  • Abstract Steel (61)
  • Available for purchase (77)
  • Brass Assemblage (64)
  • Brass Helmet (19)
  • Crushed Cans (14)
  • Figurative Steel (27)
Create a website or blog at WordPress.com
  • Subscribe Subscribed
    • Ryan McCourt
    • Already have a WordPress.com account? Log in now.
    • Ryan McCourt
    • Subscribe Subscribed
    • Sign up
    • Log in
    • Copy shortlink
    • Report this content
    • View post in Reader
    • Manage subscriptions
    • Collapse this bar
 

Loading Comments...
 

    %d